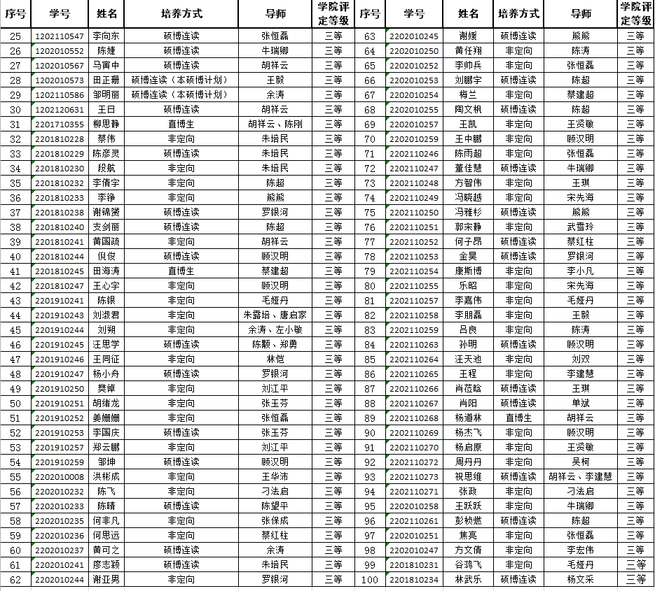
根据《地空学院关于2021-2022学年博士研究生奖助学金评选的通知》要求,经个人申报、班级审核工作组审核、前期材料公示及学院评审组评审,地空学院2021-2022年度博士研究生奖助学金推荐名单于10月11日进行了公示,公示期间收到相关意见反馈,经报评审小组同意,对推荐名单予以更新(红色标注部分)如下:



本公示中的评定等级为博士奖助学金中的学校学业助学金等级,学业奖学金及国家助学金部分不分等级,根据学校发布的参评条件及资助对象要求,符合相关条件的同学均获评。
公示期:10月11日-10月15日
公示期间如对评定结果有异议,请于10月15日12:00前,相关意见以文字形式发送邮箱dkxyxg@163.com,联系人:祁阳阳 高凌峰。
william威廉中文
2021年10月14日